2026-02-06 18:12:52 行业资讯 127
光纤激光器,脉冲锁模激光器,激光器,在现代制造业中,材料中元素含量的微小波动,往往会直接影响产品的强度、耐蚀性和使用寿命,因此“成分快检”成为生产线上至关重要的一环。传统的激光诱导击穿光谱(LIBS)技术虽然具备无需制样、多元素同时检测等优势,但多数系统仍依赖低重频固体激光器。
1.研究背景
在现代制造业中,材料中元素含量的微小波动,往往会直接影响产品的强度、耐蚀性和使用寿命,因此“成分快检”成为生产线上至关重要的一环。传统的激光诱导击穿光谱(LIBS)技术虽然具备无需制样、多元素同时检测等优势,但多数系统仍依赖低重频固体激光器,单次测试往往需要数秒才能获得一幅光谱,难以跟上高速生产线的节奏。与此同时,体积庞大、冷却复杂、抗震性能和长时间连续运行稳定性不足,也制约了传统LIBS走向真正意义上的在线、实时检测。
为打破速度瓶颈,高重频、功率稳定、结构紧凑的光纤激光器被引入LIBS系统,构建出全新的光纤激光诱导击穿光谱(FL-LIBS)快速检测方案,在保证检测精度的同时,将分析时间压缩到毫秒量级。
2.从“单点分析”走向“高速扫描”
基于高重频光纤激光器搭建的FL-LIBS系统,在总体结构上与传统LIBS相似,但在关键环节上做了针对性优化。激光经准直和两片紫外熔融石英透镜聚焦后,作用于样品表面,产生高温等离子体并激发出包含多种元素特征信息的发射光。
在光谱采集方面,在快速检测模式下,等离子体发射光可通过同轴或旁轴两种方式收集,经光纤送入光谱仪后,由计算机实时处理和显示。得益于高重频激光和高速采集硬件的协同,系统可以实现每秒50幅以上光谱的连续获取,相比传统LIBS实现了量级上的加速,为实际生产线上的在线检测预留了充足“时间冗余”。

图1 合金样品的FL-LIBS光谱图:a.铝合金7号样品;b.微合金钢3号样品
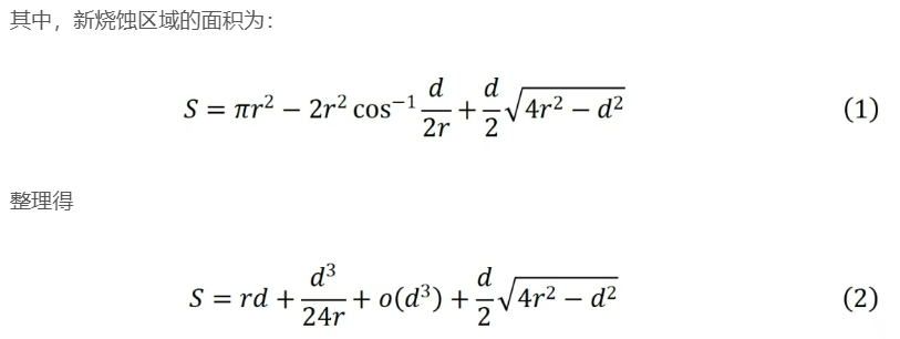
3.重复烧蚀模型
在构建FL-LIBS系统后,研究团队围绕两个最关键的问题展开了系统实验,即激光功率如何影响光谱信号,以及样品移动速度如何改变检测效果。作者团队建立了“重复烧蚀模型”,从几何上分析了高重频条件下相邻脉冲烧蚀区域的重叠问题。若样品移动速度过慢,相邻多个脉冲会集中作用在同一微小区域,后续脉冲只是加深原有烧蚀坑,有效新增烧蚀体积有限;而提高移动速度,则使每个激光脉冲在样品表面的落点产生明显位移,新增烧蚀面积与位移近似成正比。实验结果与模型分析高度一致,为后续快速定量分析提供了实验依据。

图2 前后脉冲烧蚀范围示意图

4.快速定量分析
在优化参数条件下,FL-LIBS系统用于两类典型工业合金的快速定量分析——6061系列铝合金和微合金钢标准样品。
对于铝合金样品,Cu和Mg的定量拟合相关系数均超过0.99,表现出良好的线性一致性。进一步计算表明,Cu的检出限约为每克样品406.6 μg,Mg的检出限约为176.8 μg,在保证检测速度大幅提升的前提下,仍然维持了较高的灵敏度与重复性。
对于光谱背景更复杂的微合金钢样品,团队分别采用基本定标法和内标法对Mn与Al元素进行对比分析。结果显示,内标法下Mn和Al的定量相关系数均达到0.990,预测均方根误差降至0.1 wt.%以内,明显优于基本定标法。
虽然FL-LIBS相较传统LIBS系统在部分元素的灵敏度方面略有劣势,但在检测速度、系统紧凑性与在线适用性方面的优势极为突出,将检测时间从秒级减少至毫秒级,并且柔性光路稳定性更强,使其在工业快速检测场景中具备了独特竞争力。

5.总结与展望
借助合理的激光功率设置、位移速度优化以及重复烧蚀理论模型,该系统在铝合金和微合金钢等典型材料中的定量分析都达到了钢铁冶金、有色金属加工以及废旧金属回收等领域的精度。未来,随着设备小型化与算法智能化的进一步发展,FL-LIBS有望与生产线机器人、自动分拣系统和工业互联网深度融合,成为更多工业在线成分快检的标准配置,为智能制造和高质量发展提供更为高效、可靠的光谱检测方案。
参考文献: 中国光学期刊网

您好,可以免费咨询技术客服[Daisy]
欢迎大家给我们留言,私信我们会详细解答,分享产品链接给您。
免责声明:
资讯内容来源于互联网,不代表本网站及新媒体平台赞同其观点和对其真实性负责。如对文、图等版权问题存在异议的,请联系我们将协调给予删除处理。行业资讯仅供参考,不存在竞争的经济利益。