2024-12-12 17:14:08 解决方案 550
在光学领域,布拉格光栅(Bragg Grating)作为一种重要的光学元件,以其高分辨率、高光谱效率和良好的稳定性,在光学分光仪、激光器和光纤通讯等领域发挥着关键作用。本文将带您了解布拉格光栅的基本原理、分类及其应用。
在光学领域,布拉格光栅(Bragg Grating)作为一种重要的光学元件,以其高分辨率、高光谱效率和良好的稳定性,在光学分光仪、激光器和光纤通讯等领域发挥着关键作用。本文将带您了解布拉格光栅的基本原理、分类及其应用。
1.基本原理
布拉格光栅是一种具有折射率周期性变化的透明器件,它的工作原理基于布拉格衍射原理。当一束光照射到晶体表面时
,由于晶体内部原子的周期性排列,光在晶体内发生衍射,形成衍射光束。当入射角度为布拉格角时,衍射光束将会相长干涉,光束会被反射回来,因此在满足布拉格条件的特定波长,可以达到高反射率。这可以用来分离不同波长的光,从而实现光谱分析。
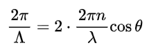
具体分析公式如下:

λ是光的真空波长,n介质的平均折射率,θ是相对于垂直于光栅的方向的传播角,以及Λ是布拉格周期。如果满足此条件,则入射角就是布拉格角,可以达到高反射率。
2.分类
以块状玻璃或聚合物制成的布拉格光栅,通过用相干紫外线照射感光材料,该光线使用干涉图案进行空间调制,称为体布拉格光栅(VBG)。

它们的反射带宽比介电薄膜镜的反射带宽小得多,因为它们具有低折射率对比度,而相应的相互作用长度也相应更长。可以将体布拉格光栅插入固态激光器的激光谐振器中,以稳定或调整其发射波长。对于不太高的功率水平,体布拉格光栅也可用于光谱光束组合。
还有光纤制成的光纤布拉格光栅(FBG)。这是一种非常简单且成本极低的滤波器。FBG通过沿光纤纵向改变纤芯的折射率而构成,特定波长的光从光栅反射回其来源方向,未选择的波长通过时衰减很小或没有衰减。

FBG的这一特性使其在光通信和传感领域有着广泛的应用,可以用于固定光纤激光器的波长、过滤掉某些波长分量、光纤放大器的增益平坦化以及光纤传感器。
还有内置布拉格光栅的半导体激光二级管(基于半导体技术),用于压窄线宽和稳定波长(DFB和DBR)。
布拉格光栅以其独特的工作原理和广泛的应用前景,成为了光学领域不可或缺的重要元件。随着科技的不断发展,布拉格光栅的制作技术将不断精进,其在各个领域的应用也将更加广泛和深入。
3.特点
高精度和稳定性:布拉格光栅传感器不受电磁干扰,具有重量轻、体积小、不受腐蚀等优点。由于其波长编码的特性,精度不受光源强度影响,受环境影响小,容易复用和实现分布式传感。
多功能性:布拉格光栅可以用于制造波长选择器、滤波器、激光器、位移传感器、速度/加速度传感器、温度传感器、力传感器等多种光学元件。
高灵敏度:布拉格光栅的一个重要用途是制作传感器,如应变传感和温度传感。当光栅受到应力或温度变化时,光栅周期会发生变化,导致反射波长的变化,从而可以测量应变量和温度变化量。

4.应用领域
光通信:布拉格光栅在光通信领域有着重要应用,可以实现波长选择、波分复用、波分解复用等功能,从而优化光信号传输。
光学仪器:布拉格光栅可用于制造分光仪等光学仪器,用于光分离和光谱分析,研究物质的结构与性能。
传感器:布拉格光栅可以用于制造温度传感器、力传感器、振动传感器等,广泛应用于各种传感探测领域。
激光器:在激光器领域,布拉格光栅可以用作反射镜,实现激光的高效率、稳定输出,并通过调节周期性折射率来调节输出激光的波长。
工业生产:布拉格光栅在工业生产中也有应用,例如在地质勘探、交通、航空航天等领域。
布拉格光栅以其独特的工作原理和广泛的应用前景,成为了光学领域不可或缺的重要元件。随着科技的不断发展,布拉格光栅的制作技术将不断精进,其在各个领域的应用也将更加广泛和深入。
产品推荐
