2025-01-17 16:16:30 解决方案 421
在密集波分复用(DWDM)中,为了实现高容量传输,光信号的发射波长必须稳定,以充分抑制串扰,避免光信号质量的恶化。波长监测集成的分布式反馈(DFB)激光模块是这种DWDM应用的有前景的光源,激光模块的发射波长可以通过反馈电路精确稳定在某一固定波长。
前言
在密集波分复用(DWDM)中,为了实现高容量传输,光信号的发射波长必须稳定,以充分抑制串扰,避免光信号质量的恶化。波长监测集成的分布式反馈(DFB)激光模块是这种DWDM应用的有前景的光源,激光模块的发射波长可以通过反馈电路精确稳定在某一固定波长。
LiNbO3 基外部强度调制器在长距离 DWDM 系统中用于光幅度调制时,其高插入损耗是一个缺点。为了获得足够大的光信号消光比并增加损耗预算,需要维持在恒定偏振状态下的高功率连续波(CW)光。
我们研发了这种由保持偏振光纤(PMF)尾纤支持的DFB激光模块,达到了超过80毫瓦的非常高的输出功率,并且已经广泛应用于实际应用中。
波长稳定性的要求基本上由DWDM系统中的波长间隔值决定。一般来说,当采用较窄的波长间隔时,需要更严格的波长稳定性。例如,目前用于引入50 GHz间隔DWDM系统的光源必须在服务寿命内支持±20 pm或更小的波长稳定性。
对于DWDM系统,波长稳定性要求更为严格,这些系统在下一代系统中具有超高容量传输的潜力。为了在该系统中实现每个信道10 Gbit/s的传输速率,波长稳定性要求至少为±10 pm或更小。为了满足每个系统的要求,我们分别开发了适用于50 GHz间隔DWDM和100 GHz间隔DWDM的激光模块。
本报告首先描述了光纤耦合输出的性能。随后,介绍了DWDM激光器的参数性能以及量产情况:
DFB激光器光纤耦合输出的性能
14pin蝶形二极管,采用长古河长Bar激光芯片,高可靠性
高功率 70 mW 和 100 mW 规格
近光束发散角 (FFP) 18 x 22 度
图一
DFB激光模块的高功率特性主要来源于激光二极管的高功率性能和基于透镜的高耦合效率。为了实现激光二极管的高功率特性,活性层采用了应变层多量子阱(SL-MQW)结构。为了增强前端面的功率,前端面采用了抗反射(AR)涂层,而后端面则采用高反射(HR)涂层。从前端面输出的功率通过两块透镜耦合到光纤尾纤,从而在大规模生产中实现了超过70%的高耦合效率。
图1显示了激光模块的外观,该模块基于行业标准的14引脚蝶形封装,在与PMF耦合时,通过精确的偏振控制光学元件实现了20 dB或更高的稳定偏振消光比,其中偏振状态保持在慢轴上。
图二
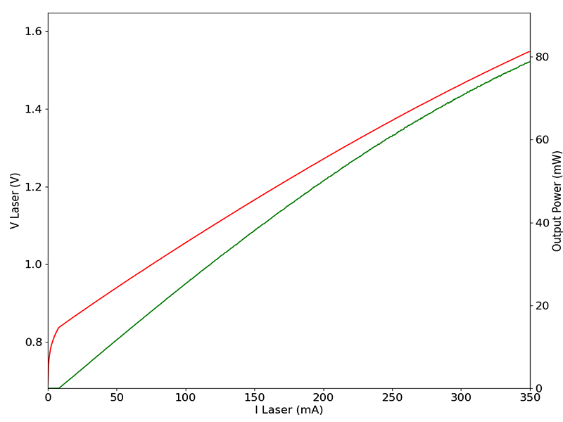
图三展示了典型的L-I曲线和光谱。副基板的温度被控制在25°C,以实现20 mW输出功率并获得固定的ITU波长。我们的高功率性能使得能够使用较低的工作电流,例如在20 mW时为86 mA,在40 mW时为162 mA。
图三
DFB激光器参数性能测试
我们使用高精度波长监测,波长与工作电流以及温度之间的关系如图四所示。
图四
然后配合我们的低噪声mini驱动(超链接)我们对激光器的频率稳定性进行监控测试,得到了图五的频率稳定性测试数据,我们的这款高功率DWDM激光器达到了(0.1pm≈12.3MHZ),胜出目前市面同类其他窄线宽DFB激光器模块的频率稳定性能:
图五
随即我们对激光器外部扫描电压进行无跳模扫描范围测试,测试结果如图六,我们的无跳模扫描区间接近1nm,扫描电压速度1KHZ:
图六
最后我们利用自相关外差法对激光器的线宽进行了评估测试,测试结果如图七,73.353 kHZ@25deg,200mA(工作条件)。
图七
DWDM激光器的量产情况
如下我们对目前DWDM波长以及量产情况做一个介绍
总结
我们开发了C Band DWDM DFB激光模块,作为长距离DWDM系统的核心信号源。通过采用我们独特的腔长设计使得激光器具备线宽窄,功率高,成功将用于DWDM应用行业标准的14引脚蝶形封装中。我们分别优化了适用于100 GHz间隔和50 GHz间隔DWDM应用的激光模块结构。通过对激光模块性能的表征,我们确认波长稳定性可达到±0.2pm且在服务寿命期间能够得到保证,满足光纤传感应用,DWDM测试应用的可靠光源。

您好,可以免费咨询,技术客服,Daisy
作者:筱晓光子
官网:筱晓(上海)光子技术有限公司
欢迎大家给我们留言,私信我们会详细解答,分享产品链接给您。